Например TDA7294

Форум РадиоКот • Просмотр темы - Мелкие вопросы по питанию.
Форум РадиоКот
Здесь можно немножко помяукать :)

Текущее время: Вс фев 15, 2026 11:07:22

Часовой пояс: UTC + 3 часа


ПРЯМО СЕЙЧАС:



Начать новую тему Ответить на тему  [ Сообщений: 47981 ]     ... , , , 429, , , ...  
Автор Сообщение
Не в сети
 Заголовок сообщения: Re: Мелкие вопросы по питанию.
СообщениеДобавлено: Пн окт 29, 2012 08:47:04 
Друг Кота

Карма: 10
Рейтинг сообщений: 721
Зарегистрирован: Чт май 13, 2010 23:42:03
Сообщений: 6282
Откуда: Минск
Рейтинг сообщения: 0
Медали: 1
Получил миской по аватаре (1)
по-мере нагрева ПТ, сопротивление его канала меняется более чем двукрато. а чем ток измерять будете? в случае с ОУ, этот ток можно оценить по напряжению на задающем переменном резисторе, если известно сопротивление шунта.

_________________
" Если на небе есть ангелы, то, их небесное воинство построено на принципах мафии"
У.Н. Румфорд.
----------
http://www.youtube.com/watch?v=qWfIYU9Zzs4 А.К. "Легион"


Вернуться наверх
 
Не в сети
 Заголовок сообщения: Re: Мелкие вопросы по питанию.
СообщениеДобавлено: Пн окт 29, 2012 13:16:25 
Держит паяльник хвостом

Зарегистрирован: Сб янв 23, 2010 11:44:23
Сообщений: 996
Откуда: Нижний Новгород
Рейтинг сообщения: 0
Я хотел бы узнать, какое макс. допустимое напряжение нужно для заряда свинцово-кислотного аккумулятора для ИБП на 12 В 9 А*ч? У меня зарядка выдает 13,8 В х.х. - это то, что нужно? Почему спросил - т.к. услышал, что аккумулятор "булькает" при заряде/разряде на отметке 13,0...13,8 В. На ощупь он холодный. Ток заряда ровно 1 А (т.е. происходит заряд 1 А и разряд 0,7 А с разной периодичностью). Аккамул нужен для того, чтобы не остаться без питания устройству. Это нормально? Если да, то все ОК, и мне не за что волноваться.


Вернуться наверх
 
Не в сети
 Заголовок сообщения: Re: Мелкие вопросы по питанию.
СообщениеДобавлено: Пн окт 29, 2012 14:11:50 
Друг Кота

Карма: 27
Рейтинг сообщений: 206
Зарегистрирован: Чт ноя 26, 2009 11:16:50
Сообщений: 6015
Откуда: Москва
Рейтинг сообщения: 0
13,8В - это не завышенное напряжение точно.


Вернуться наверх
 
Не в сети
 Заголовок сообщения: Re: Мелкие вопросы по питанию.
СообщениеДобавлено: Пн окт 29, 2012 16:37:05 
Держит паяльник хвостом

Зарегистрирован: Сб янв 23, 2010 11:44:23
Сообщений: 996
Откуда: Нижний Новгород
Рейтинг сообщения: 0
Спасибо! Теперь я спокоен.


Вернуться наверх
 
Эиком - электронные компоненты и радиодетали
Не в сети
 Заголовок сообщения: Re: Мелкие вопросы по питанию.
СообщениеДобавлено: Пн окт 29, 2012 19:04:09 
Друг Кота

Карма: 7
Рейтинг сообщений: 18
Зарегистрирован: Вт ноя 30, 2010 11:46:16
Сообщений: 3424
Откуда: Україна
Рейтинг сообщения: 0
Здравствуйте. Есть импульсный бп, и 2 шоттки. Т.к. они с общим катодом то собрать диодный мост не получиться. Можно включить шоттки вот так??
Изображение


Вложения:
123.JPG [11.27 KiB]
Скачиваний: 7890

_________________
Пора что то поменять в своей жизни - поменял windows.
КПІ РТФ!
Вернуться наверх
 
Не в сети
 Заголовок сообщения: Re: Мелкие вопросы по питанию.
СообщениеДобавлено: Пн окт 29, 2012 19:39:04 
Поставщик валерьянки для Кота
Аватар пользователя

Карма: 11
Рейтинг сообщений: 26
Зарегистрирован: Вс июн 26, 2011 20:03:21
Сообщений: 2316
Рейтинг сообщения: 0
Добрый вечер!!!
Никак не разберусь с усилителем ошибки... Пользуюсь им давно, но только по готовой схеме....
Во многих источниках пишут, что он представляет из себя подобие компаратора. Тогда не понятно, куда вешается опорное напряжение, а куда регулирующее...
Либо же просто надо подавать напряжение на вход усилителя, чтоб он начал работать?
Помогите пожалуйста разобратся, ато перечитал уже кучу всего, но понять так и не получается.... :dont_know:


Вернуться наверх
 
Не в сети
 Заголовок сообщения: Re: Мелкие вопросы по питанию.
СообщениеДобавлено: Пн окт 29, 2012 19:44:44 
Друг Кота

Карма: 10
Рейтинг сообщений: 721
Зарегистрирован: Чт май 13, 2010 23:42:03
Сообщений: 6282
Откуда: Минск
Рейтинг сообщения: 0
Медали: 1
Получил миской по аватаре (1)
BoRtO писал(а):
Можно включить шоттки вот так??
категорически нельзя. замагнитите сердечник на... лучше, лепите нормальный мост из четырёх таких сборок.

_________________
" Если на небе есть ангелы, то, их небесное воинство построено на принципах мафии"
У.Н. Румфорд.
----------
http://www.youtube.com/watch?v=qWfIYU9Zzs4 А.К. "Легион"


Вернуться наверх
 
Не в сети
 Заголовок сообщения: Re: Мелкие вопросы по питанию.
СообщениеДобавлено: Пн окт 29, 2012 19:49:36 
Друг Кота

Карма: 7
Рейтинг сообщений: 18
Зарегистрирован: Вт ноя 30, 2010 11:46:16
Сообщений: 3424
Откуда: Україна
Рейтинг сообщения: 0
Понял! Спасибо!!! :))

_________________
Пора что то поменять в своей жизни - поменял windows.
КПІ РТФ!


Вернуться наверх
 
Не в сети
 Заголовок сообщения: Re: Мелкие вопросы по питанию.
СообщениеДобавлено: Пн окт 29, 2012 19:52:18 
Вечно гонимый

Карма: -18
Рейтинг сообщений: -182
Зарегистрирован: Пт дек 30, 2011 17:55:52
Сообщений: 6083
Откуда: Севастополь - Орел
Рейтинг сообщения: -2
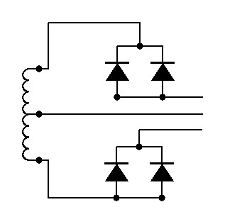
Включается это дело вот так
Изображение
только требуется удвоенное количество витков вторичной обмотки

Zы при небольших напряжениях и больших токАх такой выпрямитель лучше чем диодный мост

_________________
"Да, человек смертен, но это было бы еще полбеды.
Плохо то, что он иногда внезапно смертен, вот в чем фокус!" (Воланд)


Изображение


Вернуться наверх
 
Не в сети
 Заголовок сообщения: Re: Мелкие вопросы по питанию.
СообщениеДобавлено: Пн окт 29, 2012 19:59:23 
Вечно гонимый

Карма: -18
Рейтинг сообщений: -182
Зарегистрирован: Пт дек 30, 2011 17:55:52
Сообщений: 6083
Откуда: Севастополь - Орел
Рейтинг сообщения: -2
isx писал(а):
Тогда не понятно, куда вешается опорное напряжение, а куда регулирующее...

опорное на один вход, другое изменяющееся напряжение на другой вход, - компаратора (или же ОУ в режиме компаратора)

_________________
"Да, человек смертен, но это было бы еще полбеды.
Плохо то, что он иногда внезапно смертен, вот в чем фокус!" (Воланд)


Изображение


Вернуться наверх
 
Не в сети
 Заголовок сообщения: Re: Мелкие вопросы по питанию.
СообщениеДобавлено: Пн окт 29, 2012 20:03:54 
Друг Кота

Карма: 7
Рейтинг сообщений: 18
Зарегистрирован: Вт ноя 30, 2010 11:46:16
Сообщений: 3424
Откуда: Україна
Рейтинг сообщения: 0
UA3ELR писал(а):

Zы при небольших напряжениях и больших токАх такой выпрямитель лучше чем диодный мост

Не катит. Надо двухполярный БП. :)

_________________
Пора что то поменять в своей жизни - поменял windows.
КПІ РТФ!


Вернуться наверх
 
Не в сети
 Заголовок сообщения: Re: Мелкие вопросы по питанию.
СообщениеДобавлено: Пн окт 29, 2012 20:20:53 
Вечно гонимый

Карма: -18
Рейтинг сообщений: -182
Зарегистрирован: Пт дек 30, 2011 17:55:52
Сообщений: 6083
Откуда: Севастополь - Орел
Рейтинг сообщения: -2
Ток потребления какой? и имеет ли смысл применять именно эти Шоттки-сборки с ОК?

_________________
"Да, человек смертен, но это было бы еще полбеды.
Плохо то, что он иногда внезапно смертен, вот в чем фокус!" (Воланд)


Изображение


Вернуться наверх
 
Не в сети
 Заголовок сообщения: Re: Мелкие вопросы по питанию.
СообщениеДобавлено: Пн окт 29, 2012 20:23:36 
Друг Кота

Карма: 10
Рейтинг сообщений: 721
Зарегистрирован: Чт май 13, 2010 23:42:03
Сообщений: 6282
Откуда: Минск
Рейтинг сообщения: 0
Медали: 1
Получил миской по аватаре (1)
сборки с ОА, труднодоставабельны.

_________________
" Если на небе есть ангелы, то, их небесное воинство построено на принципах мафии"
У.Н. Румфорд.
----------
http://www.youtube.com/watch?v=qWfIYU9Zzs4 А.К. "Легион"


Вернуться наверх
 
Не в сети
 Заголовок сообщения: Re: Мелкие вопросы по питанию.
СообщениеДобавлено: Пн окт 29, 2012 20:25:18 
Поставщик валерьянки для Кота
Аватар пользователя

Карма: 11
Рейтинг сообщений: 26
Зарегистрирован: Вс июн 26, 2011 20:03:21
Сообщений: 2316
Рейтинг сообщения: 0
UA3ELR писал(а):
опорное на один вход, другое изменяющееся напряжение на другой вход, - компаратора (или же ОУ в режиме компаратора)


Опорное на "+" или на "-" ?
В некоторых схемах "-" УО подают напрямую на "-" питания, но что делают с "+" УО не понятно....


Вернуться наверх
 
Не в сети
 Заголовок сообщения: Re: Мелкие вопросы по питанию.
СообщениеДобавлено: Пн окт 29, 2012 20:38:01 
Друг Кота

Карма: 10
Рейтинг сообщений: 721
Зарегистрирован: Чт май 13, 2010 23:42:03
Сообщений: 6282
Откуда: Минск
Рейтинг сообщения: 0
Медали: 1
Получил миской по аватаре (1)
без конкретной схемы - и гадать нечего.

_________________
" Если на небе есть ангелы, то, их небесное воинство построено на принципах мафии"
У.Н. Румфорд.
----------
http://www.youtube.com/watch?v=qWfIYU9Zzs4 А.К. "Легион"


Вернуться наверх
 
Не в сети
 Заголовок сообщения: Re: Мелкие вопросы по питанию.
СообщениеДобавлено: Пн окт 29, 2012 20:50:14 
Друг Кота

Карма: 7
Рейтинг сообщений: 18
Зарегистрирован: Вт ноя 30, 2010 11:46:16
Сообщений: 3424
Откуда: Україна
Рейтинг сообщения: 0
UA3ELR писал(а):
Ток потребления какой? и имеет ли смысл применять именно эти Шоттки-сборки с ОК?

Просто лежали без дела, думал поставить. Ну раз так то поставлю мост из кд213. ПРосто проблема с их креплением, есть спец. хамутики, но их только 2 шт. А самом сидеть точить напильником нет желания.
Вложение:
IMG_0001.jpg [74.84 KiB]
Скачиваний: 406

_________________
Пора что то поменять в своей жизни - поменял windows.
КПІ РТФ!


Вернуться наверх
 
Не в сети
 Заголовок сообщения: Re: Мелкие вопросы по питанию.
СообщениеДобавлено: Пн окт 29, 2012 20:56:05 
Поставщик валерьянки для Кота
Аватар пользователя

Карма: 11
Рейтинг сообщений: 26
Зарегистрирован: Вс июн 26, 2011 20:03:21
Сообщений: 2316
Рейтинг сообщения: 0
Murlock писал(а):
без конкретной схемы - и гадать нечего.

Ну вот к примеру: http://wyst.at.ua/_si/0/08090182.jpg


Вернуться наверх
 
Не в сети
 Заголовок сообщения: Re: Мелкие вопросы по питанию.
СообщениеДобавлено: Пн окт 29, 2012 20:56:13 
Вечно гонимый

Карма: -18
Рейтинг сообщений: -182
Зарегистрирован: Пт дек 30, 2011 17:55:52
Сообщений: 6083
Откуда: Севастополь - Орел
Рейтинг сообщения: -2
Понятно... а у меня этих хомутиков пакет... жаль что мы далеко друг от друга...
- в принципе одной пластиной они легко прижимаются к общему радиатору, если надо то можно через слюду

_________________
"Да, человек смертен, но это было бы еще полбеды.
Плохо то, что он иногда внезапно смертен, вот в чем фокус!" (Воланд)


Изображение


Вернуться наверх
 
Не в сети
 Заголовок сообщения: Re: Мелкие вопросы по питанию.
СообщениеДобавлено: Пн окт 29, 2012 21:05:25 
Друг Кота

Карма: 10
Рейтинг сообщений: 721
Зарегистрирован: Чт май 13, 2010 23:42:03
Сообщений: 6282
Откуда: Минск
Рейтинг сообщения: 0
Медали: 1
Получил миской по аватаре (1)
isx писал(а):
Опорное на "+" или на "-" ?
так делают, если усилителей ошибки несколько(как в ТL494)и один, или несколько из них не нужны.. т. е. так они выключаются, чтобы не мешали.

_________________
" Если на небе есть ангелы, то, их небесное воинство построено на принципах мафии"
У.Н. Румфорд.
----------
http://www.youtube.com/watch?v=qWfIYU9Zzs4 А.К. "Легион"


Вернуться наверх
 
Не в сети
 Заголовок сообщения: Re: Мелкие вопросы по питанию.
СообщениеДобавлено: Пн окт 29, 2012 21:14:32 
Поставщик валерьянки для Кота
Аватар пользователя

Карма: 11
Рейтинг сообщений: 26
Зарегистрирован: Вс июн 26, 2011 20:03:21
Сообщений: 2316
Рейтинг сообщения: 0
Это что получается, в этой схеме оба УО не активны? Но 16-й вывод же однозначно является частью стабилизации ...


Вернуться наверх
 
Показать сообщения за:  Сортировать по:  Вернуться наверх
Начать новую тему Ответить на тему  [ Сообщений: 47981 ]     ... , , , 429, , , ...  

Часовой пояс: UTC + 3 часа


Кто сейчас на форуме

Сейчас этот форум просматривают: нет зарегистрированных пользователей и гости: 70


Вы не можете начинать темы
Вы не можете отвечать на сообщения
Вы не можете редактировать свои сообщения
Вы не можете удалять свои сообщения
Вы не можете добавлять вложения

Найти:
Перейти:  


Powered by phpBB © 2000, 2002, 2005, 2007 phpBB Group
Русская поддержка phpBB
Extended by Karma MOD © 2007—2012 m157y
Extended by Topic Tags MOD © 2012 m157y