Например TDA7294

Форум РадиоКот • Просмотр темы - Транзистор, это очень просто!
Форум РадиоКот
Здесь можно немножко помяукать :)

Текущее время: Вс ноя 23, 2025 15:26:17

Часовой пояс: UTC + 3 часа


ПРЯМО СЕЙЧАС:



Начать новую тему Ответить на тему  [ Сообщений: 204 ]    , , 3, , , ...  
Автор Сообщение
Не в сети
 Заголовок сообщения: Re: Транзистор (ВАХ, делитель...)
СообщениеДобавлено: Сб май 09, 2009 22:21:23 
Нашел транзистор. Понюхал.
Аватар пользователя

Зарегистрирован: Вс мар 29, 2009 16:54:18
Сообщений: 151
Рейтинг сообщения: 0
MIF писал(а):

Извините, если вопрос будет глупым, но на рисунке я вижу, что сопростивление нагрузки в цепи питания колектор-эмитер = 0
:shock:
Это особенность программы-эмулятора? (не показывать такие "мелочи")


Это не программа-эмулятор, а программа Splan. Где вы видели чтобы при снятие обычных параметров применяли резистор нагрузки?


Вернуться наверх
 
Не в сети
 Заголовок сообщения: Re: Транзистор (ВАХ, делитель...)
СообщениеДобавлено: Сб май 09, 2009 22:45:41 
Друг Кота
Аватар пользователя

Карма: 86
Рейтинг сообщений: 990
Зарегистрирован: Ср апр 11, 2007 16:50:39
Сообщений: 21071
Откуда: Riga
Рейтинг сообщения: 0
KT608B писал(а):
Это не программа-эмулятор, а программа Splan. Где вы видели чтобы при снятие обычных параметров применяли резистор нагрузки?

А, понятно - это программа-рисовалка.
"Снятие обычных параметров" - это что такое.., всмысле, чем там задаётся ток в коллекторе?

Вот тут, например, у вас ток коллектора уже фигурирует.
Изображение

А в первом посте, когда ток коллектора равен бесконечности, то что вообще померить можно? :shock:

ПС. В ваши изыскания я не вдавался, прицарапался лишь к этому бесконечному коллекторному току. Извините, если отвлекаю.

_________________
Искусство общения было до нас.


Вернуться наверх
 
Не в сети
 Заголовок сообщения:
СообщениеДобавлено: Сб май 09, 2009 23:21:04 
Нашел транзистор. Понюхал.
Аватар пользователя

Зарегистрирован: Вс мар 29, 2009 16:54:18
Сообщений: 151
Рейтинг сообщения: 0
Я понял, вы думаете что без резистора получается короткое замыкание. Резистор задает линейность изменения параметров, т.е. наклон нагрузочной характеристики транзистора. Без нагрузки эта характеристика идет строго вертикально и все параметры транзистора изменяются вдоль нее. Этот момент достаточно хорошо описан в книге Айзенберга "Транзистор?.. это очень просто!"

MIF писал(а):
А в первом посте, когда ток коллектора равен бесконечности, то что вообще померить можно? :shock:


Он будет равен бесконечности только в случае, если я подам в базу бесконечный ток. При подключении транзистора без нагрузки к источнику питания не вызовет в нем тока пока не будет подан ток в его базу. Ток базы будет определять ток коллектора, а ток коллектора будет изменяться вдоль нагрузочной характеристики (если нет нагрузки, то вертикально).

Никакого короткого замыкания, как вы видите.

Изображение


Вложения:
Комментарий к файлу: Схема
graf14.jpg [20.62 KiB]
Скачиваний: 588
Вернуться наверх
 
Не в сети
 Заголовок сообщения: Re: Транзистор (ВАХ, делитель...)
СообщениеДобавлено: Пн май 11, 2009 19:54:30 
Поставщик валерьянки для Кота
Аватар пользователя

Карма: 2
Рейтинг сообщений: 11
Зарегистрирован: Пт май 23, 2008 19:32:22
Сообщений: 2401
Откуда: Россия, Волгоград
Рейтинг сообщения: 0
Медали: 1
Получил миской по аватаре (1)
MIF писал(а):
ПС. В ваши изыскания я не вдавался, прицарапался лишь к этому бесконечному коллекторному току. Извините, если отвлекаю.

А не мешало бы ...

_________________
Чем дальше, тем больше становлюсь занудой...
Изображение


Вернуться наверх
 
Эиком - электронные компоненты и радиодетали
Не в сети
 Заголовок сообщения:
СообщениеДобавлено: Ср май 13, 2009 19:21:19 
Нашел транзистор. Понюхал.
Аватар пользователя

Зарегистрирован: Вс мар 29, 2009 16:54:18
Сообщений: 151
Рейтинг сообщения: 0
Для дальнейшего продвижения пришлось задействовать "тяжелую артиллерию" - программу Electronics Workbench 5.12. Предыдущие характеристики снимались непосредственно на "живых" элементах, но для ускорения и упрощения процесса я решил попробовать поработать с виртуальными моделями. Ниже на картинках представлены графики снятые на виртуальной модели транзистора 2Т630Б в среде EWB 5.12:

Изображение

Изображение


Характеристики снимались по такой схеме:

Изображение


Изначально предполагалось использовать такой вариант схемы, что позволило бы с минимальными затратами времени вводить табличные данные для получения графиков, но картинка которую вы видете на экране осциллографа нечеткая, поэтому и табличные данные выводимые программой неудобочитаемые:

Изображение

Если кто знает, как эту проблему со множеством линий на экране осциллографа сократить до одной или максимум двух, просьба сообщить. Так же существует проблема с радиоэлементами СССР для решения которой я и создал отдельную тему Симулятор схем EWB 5.12 - модели радиоэлементов. Программу с набором отечественных компонентов можно скачать здесь (EWB 5.12 + отеч. элементы).


Вложения:
Комментарий к файлу: Усовершенствованная схема снятия параметров
EWB5.jpg [82.17 KiB]
Скачиваний: 573
Комментарий к файлу: Простая схема снятия параметров
EWB4.jpg [27.53 KiB]
Скачиваний: 611
Комментарий к файлу: Выходные хар-ки
EWB3.jpg [116.71 KiB]
Скачиваний: 541
Комментарий к файлу: Входные хар-ки
EWB2.jpg [66.9 KiB]
Скачиваний: 539
Вернуться наверх
 
Не в сети
 Заголовок сообщения:
СообщениеДобавлено: Чт май 14, 2009 19:36:38 
Нашел транзистор. Понюхал.
Аватар пользователя

Зарегистрирован: Вс мар 29, 2009 16:54:18
Сообщений: 151
Рейтинг сообщения: 0
Удалось сегодня частично запустить усовершенствованную схему снятия параметров.

Изображение

Осциллограф включен в режиме, когда две его развертки управляются напряжениями поступающими с датчиков - преобразователей тока и напряжения в результате на его экране возникает характеристика транзистора, в данном случае выходная. Устройство в виде микросхемы с дискетой, это запоминающий прибор который передает данные в текстовый файл.

Изображение

Повторяющиеся данные я из него удалил в результате осталась информация по нескольким разным синусоидам. Я выделил одну произвольно. Затем я передал текстовые данные в программу Exсel, в ней есть специальный режим. Для этого надо на пустом листе выделить несколько столбцов, после этого в верхней части программы появится кнопка "данные - импорт внешних данных". И еще округлил числовые данные посредством открывающегося по правой кнопке мыши меню "формат ячеек".

Изображение

Тому кто интересуется созданием графиков в Excel можно прочесть информацию по ссылке: http://vtit.kuzstu.ru/books/shelf/135/d ... _3.html#A1


Вложения:
Комментарий к файлу: Exel
EWB18.jpg [199.63 KiB]
Скачиваний: 555
Комментарий к файлу: Текстовый файл
EWB17.jpg [128.72 KiB]
Скачиваний: 567
Комментарий к файлу: Схема
EWB16.jpg [67.19 KiB]
Скачиваний: 563
Вернуться наверх
 
Не в сети
 Заголовок сообщения:
СообщениеДобавлено: Ср май 20, 2009 23:10:17 
Друг Кота
Аватар пользователя

Карма: 86
Рейтинг сообщений: 990
Зарегистрирован: Ср апр 11, 2007 16:50:39
Сообщений: 21071
Откуда: Riga
Рейтинг сообщения: 0
KT608B писал(а):
Никакого короткого замыкания, как вы видите.

GP1 писал(а):
А не мешало бы ...

Спасибо! Всё это действительно интересно и при случае опробую что-то аналогичное на симуляторе, а пока буду посматривать в эту тему - очевидно что у меня куча пробелов в области представления работы полупроводников.

_________________
Искусство общения было до нас.


Вернуться наверх
 
Не в сети
 Заголовок сообщения:
СообщениеДобавлено: Чт май 21, 2009 23:43:30 
Нашел транзистор. Понюхал.
Аватар пользователя

Зарегистрирован: Вс мар 29, 2009 16:54:18
Сообщений: 151
Рейтинг сообщения: 0
MIF писал(а):
KT608B писал(а):
Никакого короткого замыкания, как вы видите.

GP1 писал(а):
А не мешало бы ...

Спасибо! Всё это действительно интересно и при случае опробую что-то аналогичное на симуляторе, а пока буду посматривать в эту тему - очевидно что у меня куча пробелов в области представления работы полупроводников.


Транзистор - это электронное сопротивление в отличии от переменного резистора, который является механическим сопротивлением. От напряжения на базе зависит сопротивление "коллектор-эмиттер", а через это сопротивление уже будет протекать ток. Если сопротивление равно нулю, то это короткое замыкание.


Вернуться наверх
 
Не в сети
 Заголовок сообщения:
СообщениеДобавлено: Пт май 22, 2009 00:17:51 
Друг Кота
Аватар пользователя

Карма: 86
Рейтинг сообщений: 990
Зарегистрирован: Ср апр 11, 2007 16:50:39
Сообщений: 21071
Откуда: Riga
Рейтинг сообщения: 0
KT608B писал(а):
Транзистор - это электронное сопротивление в отличии от переменного резистора, который является механическим сопротивлением. От напряжения на базе зависит сопротивление "коллектор-эмиттер", а через это сопротивление уже будет протекать ток. Если сопротивление равно нулю, то это короткое замыкание.

Не ну.. не настолько уж я не понимаю транзистор.. ;)
Меня тут больше заинтересовал (учитывая ваше подключение без ограничения тока коллектора) момент включения транзистора и я задумался.. какое напряжение колектор-эмитер может удерживать транзистор (не сгорая) и при каком базовом токе наступит пробой.

А по поводу вашего вопроса о плавающей характеристике..
Учитывая - "При нагреве транзистора кривые смещаются влево в область меньших напряжений.", может быть кристал нагревается и поэтому ведёт себя не стабильно? Это так.. предположение дилетанта. :)

_________________
Искусство общения было до нас.


Вернуться наверх
 
Не в сети
 Заголовок сообщения:
СообщениеДобавлено: Сб май 23, 2009 12:08:36 
Нашел транзистор. Понюхал.
Аватар пользователя

Зарегистрирован: Вс мар 29, 2009 16:54:18
Сообщений: 151
Рейтинг сообщения: 0
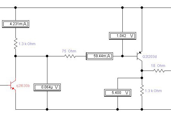
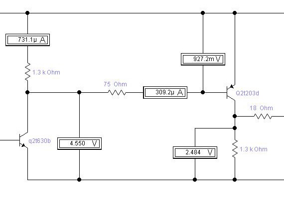
В предыдущих сообщениях я спрашивал, как работает эта (ниже показаная) часть схемы: не шунтирует ли транзистор VT2 резистор R1; для чего нужен резистор R2 ?... Ни кто не смог мне определенно ответить. Теперь я сам могу точно сказать, как функционирует этот кусок схемы.

Первое изображение
Изображение

Для начала я разберу детально схему. Резистор R1 с транзистором VT1 образуют делитель напряжения, где транзистор выступает в роли регулируемого сопротивления. Резистор R2 защищает VT2 от чересчур низкого выходного сопротивления VT1 в следствии нарущений в работе схемы. Транзистор с резистором VT2 и R3 тоже делитель напряжения для следующих каскадов. Напомню, что схема работает в статическом режиме, т.е. в режиме когда в схеме действуют постоянные токи и отсутсвуют переменные. Поэтому для расчетов входных - выходных сопротивлений применяется формула не Rвх=dU/dI, где d-дельта, а формула Rвх=U/I.

Ниже приведена схема со значениями токов и напряжений. Транзистор VT2 закрыт, его входное сопротивление огромно.

Второе изображение
Изображение

Здесь, на третьем фото, VT2 уже открыт. Сопротивление его около 3 кОм + R2 75 Ом и вносит малое шунтирующие действие в схему.

Третье изображение
Изображение

Сейчас транзистор VT2 отключен. Как видите показания мало изменились. Небольшое напряжение на вольтметре "Б-Э" у VT2 = 38,5 мкВ обусловлено обратным током коллектора VT2.

Четвертое изображение
Изображение

А вот так, транзистор VT1 "К-Э" закорочен и вы видите действие резистора R2.

Пятое изображение
Изображение


Вложения:
Комментарий к файлу: Пятое
graf18.jpg [25.44 KiB]
Скачиваний: 553
Комментарий к файлу: Четвертое
graf17.jpg [25.22 KiB]
Скачиваний: 554
Комментарий к файлу: Третье
graf16.jpg [22.47 KiB]
Скачиваний: 528
Комментарий к файлу: Второе
graf15.jpg [23.58 KiB]
Скачиваний: 542
Комментарий к файлу: Первое
graf9.jpg [102.65 KiB]
Скачиваний: 457


Последний раз редактировалось KT608B Сб июн 20, 2009 09:11:02, всего редактировалось 2 раз(а).
Вернуться наверх
 
Не в сети
 Заголовок сообщения:
СообщениеДобавлено: Сб май 23, 2009 12:15:51 
Нашел транзистор. Понюхал.
Аватар пользователя

Зарегистрирован: Вс мар 29, 2009 16:54:18
Сообщений: 151
Рейтинг сообщения: 0
Выбором номинала резистора R1 задается линейность изменения напряжения. Вы прекрасно видите на этих графиках, как происходит изменение. При выборе номинала в 1,3 кОм резистора нагрузки VT1 напряжение изменяется плавно. Посмотрите сколько значений токов коллектора и базы для каждого предела напряжения. Ниже я специально провел нагрузочную прямую для Rн=40,6 Ом. Видите ее почти не видно и напряжения по ней регулируется не так плавно. Смотрите всего лишь изменение тока коллектора до 5 мА приводит к тому, что напряжение с 5 вольт на транзисторе падает до 0 в !

Изображение


Вложения:
Комментарий к файлу: Первое
607405.jpg [116.71 KiB]
Скачиваний: 522
Вернуться наверх
 
Не в сети
 Заголовок сообщения:
СообщениеДобавлено: Сб май 23, 2009 12:56:16 
Нашел транзистор. Понюхал.
Аватар пользователя

Зарегистрирован: Вс мар 29, 2009 16:54:18
Сообщений: 151
Рейтинг сообщения: 0
Моделировщик схем вещь очень хорошая и при правильном использовании оказывается мощным оружием в борьбе с не веденьем и скептицизмом.
Свой моделировщик Electronics Workbench EWB 5.12 я никак не могу наладить. Мне нравится как он сделан, но некоторые вещи в нем отказываются подчинятся. К примеру у многих он выдает ошибку при проектировании схем, как сейчас выясняется сложных требующих больше памяти ОЗУ компьютера. Но как только я в программе увеличиваю память с 10 Мб до 100 или 500 Мб, то ошибка пропадает, но в программе сбиваются все установки анализатора.

Эта схема сейчас работает с ОЗУ 10 Мб.

Изображение

А на этой я в настройках поменял память ОЗУ с 10 Мб на 100 Мб. Сравните значения токов на этом и предыдущем изображениях.

Изображение

Произошло это по причине того, что сбились все параметры в настройке анализатора программы. Это происходит так каждый раз при изменении любого параметра.

Вот окно анализатора без изменений.

Изображение

А вот с внесенными изменениями.

Изображение

Обратите внимание, что сбой происходит только в тех ячейках, где запись числа имеет вид 1е-12 в переводе 0,0000000000012. Проблема еще в том, что записать в эти ячейки вид 1е-12 не получается, а вид 0,0000000000012 слишком громоздок и полностью не умещается.


Вложения:
Комментарий к файлу: Четвертое
graf22.jpg [64.44 KiB]
Скачиваний: 340
Комментарий к файлу: Третье
graf21.jpg [66.54 KiB]
Скачиваний: 539
Комментарий к файлу: Второе
graf20.jpg [78.1 KiB]
Скачиваний: 529
Комментарий к файлу: Первое
graf19.jpg [76.95 KiB]
Скачиваний: 532


Последний раз редактировалось KT608B Сб май 23, 2009 13:54:50, всего редактировалось 2 раз(а).
Вернуться наверх
 
Не в сети
 Заголовок сообщения:
СообщениеДобавлено: Сб май 23, 2009 13:21:33 
Нашел транзистор. Понюхал.
Аватар пользователя

Зарегистрирован: Вс мар 29, 2009 16:54:18
Сообщений: 151
Рейтинг сообщения: 0
Это, учебное пособие "Казанского Университета им. А.Н. Туполева" под названием "Виртуальное проектирование электронных приборов и систем" в нем содержится исчерпывающая информация по EWB 5.12 с переводами на русский многих параметров программы.

Ссылка:
http://depositfiles.com/files/6ex149pdj
http://stream.ifolder.ru/12260532


Вернуться наверх
 
Не в сети
 Заголовок сообщения:
СообщениеДобавлено: Пн май 25, 2009 14:53:09 
Нашел транзистор. Понюхал.
Аватар пользователя

Зарегистрирован: Вс мар 29, 2009 16:54:18
Сообщений: 151
Рейтинг сообщения: 0
Кто-нибудь может подсказать, каким образом обратный ток эмиттера влияет на коэффициент усиления транзистора?


Наткнулся на интересовавшую меня информацию по составным транзисторам:

"Желание увеличить коэффициент усиления привело к появлению схем составных транзисторов, наиболее известной из которых является схема Дарлингтона (рис. 34,а). В ней эмиттерный ток первого транзистора служит базовым током второго, в результате общий коэффициент передачи тока равен произведению h21Э обоих транзисторов. Он может достигать нескольких тысяч. Составной транзистор включают точно так же, как и обычный, - его эмиттер, база и коллектор обозначены буквами на рисунке.

Недостаток схемы Дарлингтона в том, что пороговое напряжение открывания составляет уже не 0,6 В, как у обычного кремниевого транзистора, а вдвое больше - 1,2 В. Этот недостаток устранен в схеме составного транзистора, показанной на рис. 34,б. В ней используются транзисторы разной структуры, а для управления током второго транзистора (р-n-р) служит коллекторный ток первого. В остальном свойства этого транзистора такие же, как и у предыдущего."


Составные транзисторы
Изображение

Ссылка: http://www.chipinfo.ru/literature/radio ... 43_44.html


Вложения:
Комментарий к файлу: Составные транзисторы
p44b.gif [3.11 KiB]
Скачиваний: 594


Последний раз редактировалось KT608B Сб июн 20, 2009 09:08:06, всего редактировалось 5 раз(а).
Вернуться наверх
 
Не в сети
 Заголовок сообщения:
СообщениеДобавлено: Пн май 25, 2009 15:00:38 
Поставщик валерьянки для Кота
Аватар пользователя

Карма: 2
Рейтинг сообщений: 11
Зарегистрирован: Пт май 23, 2008 19:32:22
Сообщений: 2401
Откуда: Россия, Волгоград
Рейтинг сообщения: 0
Медали: 1
Получил миской по аватаре (1)
Сдается мне - пора тему переносить в обучалку.

_________________
Чем дальше, тем больше становлюсь занудой...
Изображение


Вернуться наверх
 
Не в сети
 Заголовок сообщения:
СообщениеДобавлено: Вт июн 09, 2009 20:28:13 
Нашел транзистор. Понюхал.
Аватар пользователя

Зарегистрирован: Вс мар 29, 2009 16:54:18
Сообщений: 151
Рейтинг сообщения: 0
Для чего используется включение конденсатора параллельно "К-Э" транзистора?

Схема 1
Изображение

Схема 2
Изображение

Схема 3
Изображение


Вложения:
Комментарий к файлу: Схема 3
ris2.jpg [66.91 KiB]
Скачиваний: 572
Комментарий к файлу: Схема 2
ris1.jpg [64.99 KiB]
Скачиваний: 523
Комментарий к файлу: Схема 1
ris0.jpg [5.18 KiB]
Скачиваний: 581


Последний раз редактировалось KT608B Сб июн 20, 2009 09:07:34, всего редактировалось 1 раз.
Вернуться наверх
 
Не в сети
 Заголовок сообщения:
СообщениеДобавлено: Ср июн 10, 2009 10:09:45 
Модератор
Аватар пользователя

Карма: 46
Рейтинг сообщений: 236
Зарегистрирован: Чт окт 27, 2005 18:50:07
Сообщений: 11169
Откуда: из мест не столь отдалённых
Рейтинг сообщения: 0
Медали: 2
Получил миской по аватаре (1) Мявтор 3-й степени (1)
Из разных соображений.
1.Например, уменьшить усиление высоких частот- они будут уходить в колекторную нагрузку, минуя сам транзистор.
2.Этот конденсатор может входить составной частью в выходной LC-контур.
3. Против самовозбуждения на ВЧ- см. п.1.
КТ608, благодарю Вас за упорство и последовательность при изучении теории. Очень хорошо, что Вы пользуетесь для этого симулятором. Буду ставить Вас в пример другим!


Вернуться наверх
 
Не в сети
 Заголовок сообщения:
СообщениеДобавлено: Ср июн 10, 2009 23:13:47 
Нашел транзистор. Понюхал.
Аватар пользователя

Зарегистрирован: Вс мар 29, 2009 16:54:18
Сообщений: 151
Рейтинг сообщения: 0
Спасибо! Действительно, с симулятором намного удобнее. Но идея с его использованием не моя, меня на нее навели.

Только маленькая поправка к первому пункту: конденсатор будет выполнять роль, как в фильтре блока питания, т.е. будут сглаживаться пульсации ВЧ напряжения. Или можно сказать так: конденсатор будет заряжен первой волной напряжения и далее в зависимости от величины емкости будет разряжаться за какое-то время...
Но мне именно важно было услышать, что такое включение конденсатора препятствует самовозбуждению на ВЧ.


Вернуться наверх
 
Не в сети
 Заголовок сообщения:
СообщениеДобавлено: Пт июн 19, 2009 16:36:32 
Нашел транзистор. Понюхал.
Аватар пользователя

Зарегистрирован: Вс мар 29, 2009 16:54:18
Сообщений: 151
Рейтинг сообщения: 0
На ниже показанных изображениях видно, как влияет конденсатор в цепи "коллектор-эммитер" на сигнал. Привожу осциллограмы.

На частоте 2 МГц конденсатор не влияет, т.к. период сигнала большой и заряд конденсатора происходит очень быстро и незаметен.
Изображение

На частоте 30 МГц влияния тоже нет, но вот на 100 МГц уже есть, сигнал напоминает работу фильтра в БП "быстрый заряд и медленный разряд".
Изображение

На частоте 300 МГц вы видите как упала амплитуда, это из-за того что конденсатор частично уже заряжен быстро изменяющимся сигналом и емкость его следовательно упала (возросло реактивное сопротивление). На более низких частотах конденсатор успевал разряжаться.
Изображение

Осциллограма на частоте 1ГГц.
Изображение

Тажа частота, но "открытый вход" осциллографа. Видно наличие постоянной составляющей.
Изображение


Вложения:
Комментарий к файлу: "открытый вход" осциллографа
graf30.jpg [59.07 KiB]
Скачиваний: 345
Комментарий к файлу: Осциллограма на частоте 1ГГц
graf29.jpg [62.29 KiB]
Скачиваний: 530
Комментарий к файлу: На частоте 300 МГц
graf28.jpg [67.08 KiB]
Скачиваний: 556
Комментарий к файлу: На 100 МГц
graf27.jpg [65.83 KiB]
Скачиваний: 534
Комментарий к файлу: На частоте 2 МГц
graf26.jpg [106.48 KiB]
Скачиваний: 530


Последний раз редактировалось KT608B Сб июн 20, 2009 09:06:14, всего редактировалось 1 раз.
Вернуться наверх
 
Не в сети
 Заголовок сообщения:
СообщениеДобавлено: Пт июн 19, 2009 17:00:03 
Нашел транзистор. Понюхал.
Аватар пользователя

Зарегистрирован: Вс мар 29, 2009 16:54:18
Сообщений: 151
Рейтинг сообщения: 0
Амплитудно-частотная осциллограма. На красную линию не смотрите, это входная характеристика цепей.
Изображение

Спектроанализ выходного сигнала на частоте 2 МГц. По изображению видно, что кроме основного сигнала ничего более нет - сигнал чист.
Изображение

На частоте 100 МГц сигнал упал до 1.6 Вольта, появилась достаточно мощная вторая гармоника 200 МГц 0.5 Вольта.
Изображение

На частоте 300 МГц сигнал стал еще меньше 0.7 Вольта и уровень гармоник также подрос. Вторая гармоника имеет амплитуду в 0.3 Вольта, почти половина величины основного сигнала. Гармоники растут в связи с искажением основного сигнала.
Изображение


Представьте что такой генератор с искаженным сигналом используется в приборе для снятия параметров антенны "антенном анализаторе". Сигнал с генератора питает ВЧ-мост, к мосту подключается исследуемая антенна. Мост состоит из резисторов и детектирующих напряжение диодов.
В случае чистого сигнала на резисторах падает только это чистое напряжение. Но если появляется второе, третье... напряжение, то они так же упадут на резисторах, сложатся с первым, и продетектируются диодами в результате показания получатся неверными.
На выходе такого генератора лучше включать фильтр ФНЧ, который будет фильтровать рабочую низкую частоту, а высокую обрезать не допуская попадания гармоник на ВЧ-мост.


Вложения:
Комментарий к файлу: На частоте 300 МГц
graf34.jpg [54.7 KiB]
Скачиваний: 384
Комментарий к файлу: На частоте 100 МГц
graf33.jpg [48.1 KiB]
Скачиваний: 463
Комментарий к файлу: Спектроанализ выходного сигнала на частоте 2 МГц
graf32.jpg [51.11 KiB]
Скачиваний: 543
Комментарий к файлу: Амплитудно-частотная осциллограма.
graf31.jpg [49.36 KiB]
Скачиваний: 530


Последний раз редактировалось KT608B Сб июн 20, 2009 09:04:31, всего редактировалось 2 раз(а).
Вернуться наверх
 
Показать сообщения за:  Сортировать по:  Вернуться наверх
Начать новую тему Ответить на тему  [ Сообщений: 204 ]    , , 3, , , ...  

Часовой пояс: UTC + 3 часа


Кто сейчас на форуме

Сейчас этот форум просматривают: нет зарегистрированных пользователей и гости: 49


Вы не можете начинать темы
Вы не можете отвечать на сообщения
Вы не можете редактировать свои сообщения
Вы не можете удалять свои сообщения
Вы не можете добавлять вложения

Найти:
Перейти:  


Powered by phpBB © 2000, 2002, 2005, 2007 phpBB Group
Русская поддержка phpBB
Extended by Karma MOD © 2007—2012 m157y
Extended by Topic Tags MOD © 2012 m157y