Например TDA7294

Форум РадиоКот • Просмотр темы - Резонанс LC-контура
Форум РадиоКот
Здесь можно немножко помяукать :)

Текущее время: Ср дек 24, 2025 18:39:56

Часовой пояс: UTC + 3 часа


ПРЯМО СЕЙЧАС:



Начать новую тему Ответить на тему  [ Сообщений: 14 ] 
Автор Сообщение
Не в сети
 Заголовок сообщения: Резонанс LC-контура
СообщениеДобавлено: Чт фев 13, 2025 12:56:36 
Родился

Зарегистрирован: Ср фев 12, 2025 16:45:47
Сообщений: 3
Рейтинг сообщения: 0
Всем привет! Подскажите пожалуйста по теме резонанса LC-контура.
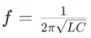
Я на практике решил проверить формулу Томсона:
Изображение
Для этого я собрал последовательный LC-контур, состоящий из конденсатора 0.025 мкФ и соленоида 14.7 мкГн.
Изображение
Согласно формуле Томсона, резонансная частота такого контура должна составлять примерно 269 кГц.
Чтобы проверить это на практике, я подключил контур к генератору, и менял частоту подаваемого с него сигнала в диапазоне 250-280 кГц.
Изображение
Напряжения на соленоиде и на входе в контур я измерял осциллографом.
Изображение Изображение
Я ожидал увидеть, что в области резонансной частоты напряжение на соленоиде будет значительно выше, чем на входе в контур (резонанс по напряжению). Однако этого не произошло во всём диапазоне 250-280 кГц. Подскажите пожалуйста, что я не так делаю?
P.S. Я не большой специалист в электротехнике :wink:


Вернуться наверх
 
Не в сети
 Заголовок сообщения: Re: Резонанс LC-контура
СообщениеДобавлено: Чт фев 13, 2025 13:21:46 
Друг Кота
Аватар пользователя

Карма: 55
Рейтинг сообщений: 669
Зарегистрирован: Вт сен 25, 2012 23:13:41
Сообщений: 5439
Откуда: г.Дзержинск Нижегородской обл.
Рейтинг сообщения: 0
Подскажите пожалуйста, что я не так делаю?
Начать с того, что Вы неправильно подключили щупы осциллографа. Общий провод (корпус) для обоих щупов соединён на разъёмах прибора, а Вы подключили его так, что по факту закоротили конденсатор. Измените схему подключения щупов, соединив корпуса всех приборов на одной сигнальной шине, и сделайте новые фото.

P.s. Это ещё не все моменты, где Вы накосячили.

_________________
Спасение утопающих дело рук самих утопающих.


Вернуться наверх
 
Не в сети
 Заголовок сообщения: Re: Резонанс LC-контура
СообщениеДобавлено: Чт фев 13, 2025 16:19:28 
Родился

Зарегистрирован: Ср фев 12, 2025 16:45:47
Сообщений: 3
Рейтинг сообщения: 0
Спасибо! Буду пытаться. Мне казалось, что у меня подключено по такой схеме
Изображение


Вернуться наверх
 
Не в сети
 Заголовок сообщения: Re: Резонанс LC-контура
СообщениеДобавлено: Чт фев 13, 2025 16:38:04 
Поставщик валерьянки для Кота
Аватар пользователя

Карма: 18
Рейтинг сообщений: 458
Зарегистрирован: Чт ноя 15, 2012 20:47:59
Сообщений: 2211
Откуда: Крымск
Рейтинг сообщения: 0
Поставьте последовательно на выход генератора резистор 23 Ома, а осциллограф подключите к точке соединения резистора и катушки и точке соединения конденсатора и генератора! У вас последовательный контур (контур-дырка) поэтому при резонансе будет не подъём напряжения, а просадка!


Вернуться наверх
 
Эиком - электронные компоненты и радиодетали
Не в сети
 Заголовок сообщения: Re: Резонанс LC-контура
СообщениеДобавлено: Чт фев 13, 2025 17:25:33 
Друг Кота
Аватар пользователя

Карма: 139
Рейтинг сообщений: 2918
Зарегистрирован: Чт янв 10, 2008 22:01:02
Сообщений: 24618
Откуда: Московская область, Фрязино
Рейтинг сообщения: 0
Мне казалось, что...

Проблема в том, что источник сигнала и два канала осциллографа имеют общую точку называемую условно "землей". Эту точку нужно подключать к общему проводу схемы. Он у вас на картинке ВЕРХНИЙ.

Добавлено after 3 minutes 50 seconds:
У вас последовательный контур (контур-дырка) поэтому при резонансе будет не подъём напряжения, а просадка!

Вы все перепутали.
Последовательный контур питается от источника ЭДС, а параллельный от источника тока.
В последовательном контуре напряжение на конденсаторе и индуктивности в Q раз больше, чем на источнике ЭДС. Но эти напряжения противофазны, поэтому все падает на активных потерях контура.
Включение последовательно резистора в последовательный контур просто уменьшит добротность контура. И всё.


Вернуться наверх
 
Не в сети
 Заголовок сообщения: Re: Резонанс LC-контура
СообщениеДобавлено: Чт фев 13, 2025 18:49:55 
Опытный кот

Карма: 2
Рейтинг сообщений: 105
Зарегистрирован: Пт ноя 22, 2024 14:08:43
Сообщений: 872
Рейтинг сообщения: 0
Изображение
ёмкость контура стала немного меньше


Вернуться наверх
 
Не в сети
 Заголовок сообщения: Re: Резонанс LC-контура
СообщениеДобавлено: Чт фев 13, 2025 19:40:37 
Друг Кота
Аватар пользователя

Карма: 139
Рейтинг сообщений: 2918
Зарегистрирован: Чт янв 10, 2008 22:01:02
Сообщений: 24618
Откуда: Московская область, Фрязино
Рейтинг сообщения: 0
Теперь у вас параллельный контур с частичным включением и шунтированный сопротивлением 330 Ом.


Вернуться наверх
 
Не в сети
 Заголовок сообщения: Re: Резонанс LC-контура
СообщениеДобавлено: Чт фев 13, 2025 20:14:36 
Опытный кот

Карма: 2
Рейтинг сообщений: 105
Зарегистрирован: Пт ноя 22, 2024 14:08:43
Сообщений: 872
Рейтинг сообщения: 0
300 Ом и в 100 раз....для контура....ему же резонанс хочется, так, просто...


Вернуться наверх
 
Не в сети
 Заголовок сообщения: Re: Резонанс LC-контура
СообщениеДобавлено: Чт фев 13, 2025 20:34:40 
Друг Кота

Карма: 20
Рейтинг сообщений: 814
Зарегистрирован: Пт ноя 02, 2018 16:14:36
Сообщений: 3108
Рейтинг сообщения: 0
Annamed писал(а):
Я ожидал увидеть, что в области резонансной частоты напряжение на соленоиде будет значительно выше,
Во сколько раз выше вы ожидали? Посчитайте индуктивное и ёмкостное сопротивления катушки и конденсатора, сравните с вашими 330 Ом.
Чтобы резонанс был заметнее, возьмите другую индуктивность. Трансформатор с железным сердечником от старинного "сетевого адаптера" хорошо подойдёт.

_________________
Нет ничего практичнее хорошей теории


Вернуться наверх
 
Не в сети
 Заголовок сообщения: Re: Резонанс LC-контура
СообщениеДобавлено: Чт фев 13, 2025 22:16:38 
Опытный кот

Карма: 2
Рейтинг сообщений: 105
Зарегистрирован: Пт ноя 22, 2024 14:08:43
Сообщений: 872
Рейтинг сообщения: 0
характеристическое сопротивление контура порядка 25 Ом, резонансное тогда может быть ок. 1-2 КОм


Вернуться наверх
 
Не в сети
 Заголовок сообщения: Re: Резонанс LC-контура
СообщениеДобавлено: Пт фев 14, 2025 01:19:21 
Друг Кота
Аватар пользователя

Карма: 22
Рейтинг сообщений: 94
Зарегистрирован: Чт мар 26, 2009 04:35:04
Сообщений: 3114
Откуда: Москва
Рейтинг сообщения: 0
Да блин ... Лучше скажите, почему у меня тут картинки не отображаются при включённом адблоке :)

https://dzen.ru/a/XnpNq_DZz22ygkDm

Про осциллограф вам правильно написали, а ещё у щупов есть собственная ёмкость.
Хотите поэкспериментировать? Возьмите конденсатор и дроссель побольше, чтобы резонансная частота была меньше 1 кГц и измеряйте напряжение тестером. (Только не 50 Гц и не в розетку :)) )

_________________
Изображение (Аль Котоне, кот ещё тот, Cattus Sapiens)
Усы и хвост - мои документы.
Кот - авторитет! Скажет "Мяу!" - не поспоришь. (скажи мне "мяу" и я скажу кто ты)


Вернуться наверх
 
Не в сети
 Заголовок сообщения: Re: Резонанс LC-контура
СообщениеДобавлено: Пт фев 14, 2025 06:21:45 
Друг Кота

Карма: 20
Рейтинг сообщений: 814
Зарегистрирован: Пт ноя 02, 2018 16:14:36
Сообщений: 3108
Рейтинг сообщения: 0
Krismi70, характеристическое, резонансное, добротность - для ТС это пока ещё слишком тонкий юмор.

_________________
Нет ничего практичнее хорошей теории


Вернуться наверх
 
Не в сети
 Заголовок сообщения: Re: Резонанс LC-контура
СообщениеДобавлено: Пт фев 14, 2025 14:57:26 
Родился

Зарегистрирован: Ср фев 12, 2025 16:45:47
Сообщений: 3
Рейтинг сообщения: 0
Подскажите пожалуйста, что я не так делаю?
Начать с того, что Вы неправильно подключили щупы осциллографа. Общий провод (корпус) для обоих щупов соединён на разъёмах прибора, а Вы подключили его так, что по факту закоротили конденсатор. Измените схему подключения щупов, соединив корпуса всех приборов на одной сигнальной шине, и сделайте новые фото.

P.s. Это ещё не все моменты, где Вы накосячили.


Спасибо за ответы! Я переподключил щупы, если правильно понял Николай_С и КРАМ
Изображение Изображение

На осциллографе я увидел превышение Uсоленоида относительно Uконтура.
Можно ли это считать резонансом если:
- Uсоленоида стало превышать Uконтура начиная где-то с 170 кГц (вдали от расчётной резонансной частоты)
Изображение
При повышении частоты Uсоленоида росло, Uконтура падало. На частоте 230 кГц Uконтура было минимально.
Изображение
Дальнейшее повышение частоты показало рост как Uсоленоида, так и Uконтура
Изображение
На частоте 2.5 МГц напряжения сравнялись, и с последующим увеличением частоты стали одинаково падать
Изображение


Вернуться наверх
 
Не в сети
 Заголовок сообщения: Re: Резонанс LC-контура
СообщениеДобавлено: Пт фев 14, 2025 18:50:34 
Друг Кота
Аватар пользователя

Карма: 55
Рейтинг сообщений: 669
Зарегистрирован: Вт сен 25, 2012 23:13:41
Сообщений: 5439
Откуда: г.Дзержинск Нижегородской обл.
Рейтинг сообщения: 0
Теперь всё подключено правильно согласно приведённой Вами же схеме.
Резонансом можно считать вот этот случай:
При повышении частоты Uсоленоида росло, Uконтура падало. На частоте 230 кГц Uконтура было минимально.
Изображение
Обратите внимание на разность фаз колебаний. Она составляет ровно +90 градусов, что полностью подтверждает теорию. В остальных же случаях это условие не выполняется.

_________________
Спасение утопающих дело рук самих утопающих.


Вернуться наверх
 
Показать сообщения за:  Сортировать по:  Вернуться наверх
Начать новую тему Ответить на тему  [ Сообщений: 14 ] 

Часовой пояс: UTC + 3 часа


Кто сейчас на форуме

Сейчас этот форум просматривают: нет зарегистрированных пользователей и гости: 52


Вы не можете начинать темы
Вы не можете отвечать на сообщения
Вы не можете редактировать свои сообщения
Вы не можете удалять свои сообщения
Вы не можете добавлять вложения

Найти:
Перейти:  


Powered by phpBB © 2000, 2002, 2005, 2007 phpBB Group
Русская поддержка phpBB
Extended by Karma MOD © 2007—2012 m157y
Extended by Topic Tags MOD © 2012 m157y