Например TDA7294

Форум РадиоКот • Просмотр темы - Мелкие вопросы по теории
Форум РадиоКот
Здесь можно немножко помяукать :)

Текущее время: Чт фев 12, 2026 07:30:23

Часовой пояс: UTC + 3 часа


ПРЯМО СЕЙЧАС:



Начать новую тему Ответить на тему  [ Сообщений: 41967 ]     ... , , , 1840, , , ...  
Автор Сообщение
Не в сети
 Заголовок сообщения: Re: Мелкие вопросы по теории
СообщениеДобавлено: Чт янв 13, 2022 22:21:38 
Друг Кота
Аватар пользователя

Карма: 44
Рейтинг сообщений: 605
Зарегистрирован: Вс мар 04, 2007 11:39:00
Сообщений: 4470
Откуда: Ukraine, Kyiv
Рейтинг сообщения: 0
но нигде не видел... Источник тока заменить сопротивлением...
У Хоровца и Хилла это написано. Сопротивление и есть источник тока. Хреновенький, конечно.

А два активных источника тока последовательно - оксюморон. Ток через их цепь будет таким, какой сгенерирует меньший из них.

_________________
Выслушай и противную сторону, даже если она и противна


Последний раз редактировалось falkonist Чт янв 13, 2022 22:25:54, всего редактировалось 1 раз.

Вернуться наверх
 
Не в сети
 Заголовок сообщения: Re: Мелкие вопросы по теории
СообщениеДобавлено: Чт янв 13, 2022 22:25:53 
Друг Кота
Аватар пользователя

Карма: 140
Рейтинг сообщений: 4277
Зарегистрирован: Чт сен 01, 2011 12:53:27
Сообщений: 20131
Откуда: ТьмуТаракания. Почетный житель подмостовья
Рейтинг сообщения: 4
Express писал(а):
Источник тока заменить сопротивлением...
не знаю, как это выразить теоретически, но практически- высоковольтный источник, подключенный через огромное (мегаоммическое)сопротивление превращается для узкого диапазона нагрузок в реальный источник тока.

Добавлено after 1 minute 52 seconds:
Тот, который генерирует больший ток, "перетянет одеяло на себя".

а не наоборот? тот который с током поменьше будет задатчиком тока. а который побольше током, всего навсего войдет в насыщение

_________________
Шекспир сказал: Судить меня -дано лишь Богу, другим я укажу дорогу... https://natribu.org/
Я его полностью поддерживаю.
Программирую на Fuse AtmelAVR.


Последний раз редактировалось oleg63m Чт янв 13, 2022 22:26:53, всего редактировалось 1 раз.

Вернуться наверх
 
Не в сети
 Заголовок сообщения: Re: Мелкие вопросы по теории
СообщениеДобавлено: Чт янв 13, 2022 22:26:29 
Друг Кота
Аватар пользователя

Карма: 44
Рейтинг сообщений: 605
Зарегистрирован: Вс мар 04, 2007 11:39:00
Сообщений: 4470
Откуда: Ukraine, Kyiv
Рейтинг сообщения: 0
Я уже исправился.

_________________
Выслушай и противную сторону, даже если она и противна


Вернуться наверх
 
Не в сети
 Заголовок сообщения: Re: Мелкие вопросы по теории
СообщениеДобавлено: Чт янв 13, 2022 22:28:23 
Друг Кота
Аватар пользователя

Карма: 140
Рейтинг сообщений: 4277
Зарегистрирован: Чт сен 01, 2011 12:53:27
Сообщений: 20131
Откуда: ТьмуТаракания. Почетный житель подмостовья
Рейтинг сообщения: 0
зачем же так быстро? :kill: я же медленно набираю :)))

_________________
Шекспир сказал: Судить меня -дано лишь Богу, другим я укажу дорогу... https://natribu.org/
Я его полностью поддерживаю.
Программирую на Fuse AtmelAVR.


Вернуться наверх
 
Эиком - электронные компоненты и радиодетали
Не в сети
 Заголовок сообщения: Re: Мелкие вопросы по теории
СообщениеДобавлено: Чт янв 13, 2022 23:08:41 
Мучитель микросхем

Карма: 7
Рейтинг сообщений: 198
Зарегистрирован: Сб фев 01, 2020 16:04:03
Сообщений: 425
Рейтинг сообщения: 0
СпойлерИзображение Изображение Изображение
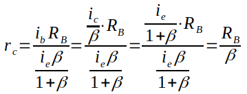
Express, ну всё же уже написано, как и почему. Могу заново повторить. Вот три картинки эквивалентных преобразований:
1) малосигнальная модель динамической нагрузки и пробный источник тока iT.
2) задублировали зависимый источник тока коллектора ic и заземлили центральную точку. Замечаем, что верхний источник тока ic имеет одинаковое падение напряжения с резистором RB, так как они включены параллельно. То есть ib*RB=ic*rc, где rc -некое эквивалентное сопротивление верхнего источника. Отсюда Изображение
3) С учётом вышеизложенного, заменяем верхний источник тока на резистор RB/β.
oleg63m писал(а):
Тот, который генерирует больший ток, "перетянет одеяло на себя".
а не наоборот? тот который с током поменьше будет задатчиком тока. а который побольше током, всего навсего войдет в насыщение
Тут речь про идеальные источники. Если они будут разной величины, то не выполнится первое правило Кирхгофа, и наша вселенная разлетится на щепки.


Вернуться наверх
 
Не в сети
 Заголовок сообщения: Re: Мелкие вопросы по теории
СообщениеДобавлено: Чт янв 13, 2022 23:59:33 
Друг Кота

Карма: -48
Рейтинг сообщений: -321
Зарегистрирован: Ср ноя 21, 2018 17:16:52
Сообщений: 3982
Рейтинг сообщения: 0
lumped.net, не надо дублировать я и от туда всё неплохо читаю...
Я не как не веду в концепцию преобразования, чо и во что преобразовываем, и накой хрен...
Это я ещё про формулы вопросы не задавал...

Добавлено after 5 minutes 39 seconds:
Алежа, два аккумулятора(источника тока) включены последовательно, как понять физически что один из аккумуляторов ушёл в насыщение это значит что произошло с ним?

_________________
=


Вернуться наверх
 
Не в сети
 Заголовок сообщения: Re: Мелкие вопросы по теории
СообщениеДобавлено: Пт янв 14, 2022 05:27:11 
Друг Кота
Аватар пользователя

Карма: -74
Рейтинг сообщений: -204
Зарегистрирован: Пн окт 03, 2016 22:50:22
Сообщений: 3943
Рейтинг сообщения: 0
Ладно, продублирую, возможно модератор бухой и случайно стёр мой технический вопрос...

И так, 15*25/(25+190)=1,7в - падение напряжения на R4 или к переходу БЭ Q4 подключили источник напряжения 1,7в тааак? И при чём ко входному контуру... У нас ведь два контура входной базовый и выходной коллекторный тааак ?

Изображение

Q2 это источник тока, с общим эмиттером и отрицательной обратной связью R3, ток коллектора Q2 задан резистивным делителем R4 и R5, который открывает переход база - эмиттер транзистора Q2 по пути (-) источника питания -> R5 -> база - эмиттер - Q2 -> R3 -> (+) источника питания.
Считай Q2, R4 и R5 это этакая вспомогательная часть схемы, которая поддерживает заряд конденсатора C2 и задает смещение транзистора Q1.


Транзистор Q2 открыт, ток проходя через источник питания (+) -> R3 -> эмиттер - коллектор транзистора Q2 -> проходит через резистивный делитель R2 - R1 ПРИоткрывая базу транзистора Q1 + задает смещение транзистора (рабочую точку/ток покоя с целью убрать ступеньку), при ПРИоткрытии транзистора Q1, между коллектором Q2 и коллектором Q1 образуется средняя точка, начинает протекать ток по пути (+) -> R3 -> Q2-Э-К -> Q1-К-Э -> R7 -> (-).

При образовании средней точки, конденсатор С2 заряжается по пути (+) -> R3 -> Q2-Э-К -> C2 -> R6 -> (-)
Изображение


При положительной полуволне или просто положительного потенциала на базе транзистора Q1, Q1 транзистор открывается полностью, шунтируя себя (имея малое сопротивление перехода Э - К), конденсатор разряжается на нагрузку R6 по пути (-) -> R7 -> Q1-Э-К -> C2 - > R6 -> (-) Получается (-) данном случае это просто проводник.
Потенциалы на резисторе R6:
Изображение


При отрицательной полуволне или отрицательного потенциала на базе транзистора Q1, Q1 закрывается полностью, переход база - эмиттер Q1 закрыт, конденсатор вновь заряжается по пути (+) -> R3 -> Q2-Э-К -> C2 -> R6 -> (-)
Потенциалы на резисторе R6:
Изображение

В итоге на R6 переменный ток.


Вернуться наверх
 
Не в сети
 Заголовок сообщения: Re: Мелкие вопросы по теории
СообщениеДобавлено: Пт янв 14, 2022 12:24:17 
Друг Кота

Карма: -48
Рейтинг сообщений: -321
Зарегистрирован: Ср ноя 21, 2018 17:16:52
Сообщений: 3982
Рейтинг сообщения: 0
Ни чо себе ты задвинул...
Конденсатор заряжен до 7,5 вольт при положительной полуволне он условно зарядится до 12,5 вольт при отрицательной полуволне до 2,5 вольт, рабочая точка Q1 гуляет между насыщением и отсечкой но не входит в эти состояния, ни о каком закрытии Q1 не может быть и речи это не двухтактник это там по очереди они закрываются/открываются!?

_________________
=


Вернуться наверх
 
Не в сети
 Заголовок сообщения: Re: Мелкие вопросы по теории
СообщениеДобавлено: Пт янв 14, 2022 13:33:30 
Друг Кота
Аватар пользователя

Карма: 140
Рейтинг сообщений: 4277
Зарегистрирован: Чт сен 01, 2011 12:53:27
Сообщений: 20131
Откуда: ТьмуТаракания. Почетный житель подмостовья
Рейтинг сообщения: 4
два аккумулятора(источника тока) включены последовательно, как понять физически что один из аккумуляторов ушёл в насыщение это значит что произошло с ним?

Ну, если быть таким придирчивым, то аккумуляторы являются источником ЭДС, это хреновый аккумулятор может быть источником тока, из-за большого внутреннего сопротивления. а если включить последовательно 2 аккумулятора, один мощный, способный отдать большой ток, а второй говняный, то может статься так, что говняный даже сменит ориентацию, тоесть перезарядится в обратной полярности. Но здесь пример немного другого харрактера.
здесь источники тока можно рассматривать как резинки. та, которая потуже попытается перетянуть на себя весь ток, но ей всеравно хрен чего достанется, вернее не больше чем пройдет через слабую. элементарно, и в согласии с законом Дедушки Ома. поэтому, кто больше жрет тока, тот на себя только напряжение перетасчит, а вовсе не ток.
ну как в жизни, кто сильнее тот может себе отобрать чего-либо у того, кто слабее :)) но не больше, чем у него имется
*********
Или, чтобы понятнее, практический случай из жизни. вот бужаете вы вдвоем с корешом. вдули по поллитра. кореш на этом ограничился, а ты продолжил. кто из вас вскоре уйдет в насыщение? :))) правда это пример, скорее параллельного включения :)))


Ни чо себе ты задвинул...

Мне этот "белый шум" в мозгах експресс-тормоза напоминает 2х копателей, одного умного- другого так себе. один знает что ищет и копает в нужном месте, добиваясь результата малыми усилиями, это большинство форумчан, и второй, который в поисках чего-то, понятного только ему, копает все и везде, перелопачивая тонны земли. придет ли он к успеху? возможно. но какими усилиями....

_________________
Шекспир сказал: Судить меня -дано лишь Богу, другим я укажу дорогу... https://natribu.org/
Я его полностью поддерживаю.
Программирую на Fuse AtmelAVR.


Вернуться наверх
 
Не в сети
 Заголовок сообщения: Re: Мелкие вопросы по теории
СообщениеДобавлено: Пт янв 14, 2022 20:20:26 
Друг Кота
Аватар пользователя

Карма: -74
Рейтинг сообщений: -204
Зарегистрирован: Пн окт 03, 2016 22:50:22
Сообщений: 3943
Рейтинг сообщения: 0
Ни чо себе ты задвинул...
ни о каком закрытии Q1 не может быть и речи это не двухтактник это там по очереди они закрываются/открываются!?


Да, это не двухтактник, поэтому из схемы можешь выкинуть Q2, R4, R5 и R3 подключив предварительно рассчитанный резистор одним концом к (+) другим концом к коллектору Q1. Схема так же будет работать. Просто транзистором Q2 можно настроить ток и внутреннее сопротивление перехода эмиттера - коллектор в широком диапазоне. Представь, что Q2 потенциометр (переменный резистор). И я ранее не писал, что Q2 закрывается, поэтому о никакой "очереди" речи не может быть. Q2 всегда открыт и настроен на заданный ток.

Мы управляем только Q1, который полностью открываясь, разряжает конденсатор C2 на на нагрузку R6, и наоборот закрываясь или находясь в рабочем режиме (при отсутствии сигнала в момент первого включения) конденсатор С2 вновь заряжается от Q2, плавно опускает свое напряжение на на нагрузку R6, только уже другой полярности. Схема представляет собой классический усилитель на одном транзисторе, с общим эмиттером и отрицательно обратной связью по току.


Вернуться наверх
 
Не в сети
 Заголовок сообщения: Re: Мелкие вопросы по теории
СообщениеДобавлено: Пт янв 14, 2022 22:50:27 
Друг Кота

Карма: -48
Рейтинг сообщений: -321
Зарегистрирован: Ср ноя 21, 2018 17:16:52
Сообщений: 3982
Рейтинг сообщения: 0
Мы управляем только Q1, который полностью открываясь, разряжает конденсатор C2 на на нагрузку R6, и наоборот закрываясь или находясь в рабочем режиме (при отсутствии сигнала в момент первого включения) конденсатор С2 вновь заряжается от Q2, плавно опускает свое напряжение на на нагрузку R6, только уже другой полярности. Схема представляет собой классический усилитель на одном транзисторе, с общим эмиттером и отрицательно обратной связью по току.

полностью открываясь ктож так пишит? Это запутывает, понятие полностью открываясь трактуется как режим насыщения, в насыщении транзистор можно смело заменить куском проволки! Используйте приставку ПРИоткрываясь...
закрываясь или находясь в рабочем ктож так пишит? Вы либо трусы наденьте или крестик снимите! ИЛИ ставит между этими понятиями не как нельзя это разные режимы закрыть транзистор это всё равно что оборвать цепь! Используйте приставку ПРИзакрываясь - это означает рабочая точка смешается вниз к отсечке но это не означает что он закрывается он всё ещё в активном режиме...

В классической схеме с ОЭ транзистор в режиме усиления никогда! Не бывает закрыт!

_________________
=


Вернуться наверх
 
Не в сети
 Заголовок сообщения: Re: Мелкие вопросы по теории
СообщениеДобавлено: Пт янв 14, 2022 23:22:52 
Друг Кота
Аватар пользователя

Карма: -74
Рейтинг сообщений: -204
Зарегистрирован: Пн окт 03, 2016 22:50:22
Сообщений: 3943
Рейтинг сообщения: 0
полностью открываясь ктож так пишит? Это запутывает, понятие полностью открываясь трактуется как режим насыщения, в насыщении транзистор можно смело заменить куском проволки! Используйте приставку ПРИоткрываясь...


Когда я писал про "полностью открываясь", я писал на языке доступном тебе, учитывая тот факт, что транзистор Q1 у нас всегда приоткрыт, за счет установки рабочей точки делителем, то при наличии положительного потенциала на его базе, транзистор полностью открывается. Насыщение транзистора это ключевой режим работы транзистора, ключевой режим работы транзистора изучишь сам, при насыщение будут также срезанные холмы синуса и появятся искажения, чем больше ты пропихнешь напряжения и тока в его базу.

закрываясь или находясь в рабочем ктож так пишит? Вы либо трусы наденьте или крестик снимите! ИЛИ ставит между этими понятиями не как нельзя это разные режимы закрыть транзистор это всё равно что оборвать цепь! Используйте приставку ПРИзакрываясь - это означает рабочая точка смешается вниз к отсечке но это не означает что он закрывается он всё ещё в активном режиме...

Прежде чем на форуме махать своими трусами с коричневым пятном сзади, а с желтым спереди, для начала тебе необходимо изучить азы работы транзистора и не в симуляторе, а ручками вместе с осциллографом и тремя мультиметрами на бредборде. Когда я писал закрываясь, я писал тебе о том, что переход база - эмиттер плавно закрывается или закрыта, а "призакрытый" это транзистор который открыт (переход база - эмиттер открыт) и через эмиттерный и коллекторный переход протекает слабенький ток смещения (аки струя в твоем унитазе стекающая к гидро затвору при неисправном сливном бачке), точка смещения которого чуть выше отсечки (полностью закрытого транзистора), но значительно ниже полностью открытого транзистора, точку смещения нужна что бы убрать ступеньку, когда сигнал - напряжение как и ток на базе слишком мало для открытия перехода база - эмиттер, для этого кочегарят транзистор подкидывая немного угля в его базу, что бы он мог поддерживать малые порции угля заваливающие в его топку из коллектора валит дым и тепло, т.е. что бы транзистор смог усилитЪ слабый сигнал на его базе, который ниже 0,6 вольт ( в случае кремния ) Отсечка - это закрытый транзистор, переход эмиттер - база закрыт, переход эмиттер - коллектор закрыт.


Вернуться наверх
 
Не в сети
 Заголовок сообщения: Re: Мелкие вопросы по теории
СообщениеДобавлено: Пт янв 14, 2022 23:57:08 
Друг Кота

Карма: -48
Рейтинг сообщений: -321
Зарегистрирован: Ср ноя 21, 2018 17:16:52
Сообщений: 3982
Рейтинг сообщения: 0
Блин, ну чо тут можно сказать? Да ни чо я не буду говорить... Скажу так, вааабщето тут диолог шол об более высокой материи, об rэ и rк так шо если тебе нечего сказать об этом - слееезай с бочки и не морочь мне голову...

_________________
=


Вернуться наверх
 
Не в сети
 Заголовок сообщения: Re: Мелкие вопросы по теории
СообщениеДобавлено: Сб янв 15, 2022 00:27:54 
Поставщик валерьянки для Кота
Аватар пользователя

Карма: 20
Рейтинг сообщений: 651
Зарегистрирован: Пт май 31, 2013 17:14:38
Сообщений: 2081
Откуда: Украина, Винница
Рейтинг сообщения: 0
Прежде чем на форуме махать своими трусами с коричневым пятном сзади, а с желтым спереди, для начала тебе необходимо изучить азы работы транзистора и не в симуляторе, а ручками вместе с осциллографом и тремя мультиметрами на бредборде.

Да ничего он не может. Он информацию сгребает, а башка ее переварить не может.


Вернуться наверх
 
Не в сети
 Заголовок сообщения: Re: Мелкие вопросы по теории
СообщениеДобавлено: Сб янв 15, 2022 07:03:50 
Друг Кота
Аватар пользователя

Карма: -74
Рейтинг сообщений: -204
Зарегистрирован: Пн окт 03, 2016 22:50:22
Сообщений: 3943
Рейтинг сообщения: 0
Да ничего он не может. Он информацию сгребает, а башка ее переварить не может.

Понятно. Тогда ничем не смогу ему помочь, ибо вместо того что бы вникать и практиковаться он пререкается.


Вернуться наверх
 
Не в сети
 Заголовок сообщения: Re: Мелкие вопросы по теории
СообщениеДобавлено: Сб янв 15, 2022 08:37:30 
Друг Кота
Аватар пользователя

Карма: 116
Рейтинг сообщений: 4523
Зарегистрирован: Пт мар 30, 2012 05:17:29
Сообщений: 16217
Откуда: Екатеринбург
Рейтинг сообщения: 7
Да ничего он не может. Он информацию сгребает, а башка ее переварить не может.
Этот немногим лучше тормоза, простые цепи из резисторов без симулятора рассчитать не в состоянии, как оказалось. Они нашли друг друга, не стоит им мешать. :)))

_________________
И хрюкотали зелюки,
Как мюмзики в мове.


Вернуться наверх
 
Не в сети
 Заголовок сообщения: Re: Мелкие вопросы по теории
СообщениеДобавлено: Сб янв 15, 2022 17:57:23 
Друг Кота
Аватар пользователя

Карма: -74
Рейтинг сообщений: -204
Зарегистрирован: Пн окт 03, 2016 22:50:22
Сообщений: 3943
Рейтинг сообщения: -4
Этот немногим лучше тормоза, простые цепи из резисторов без симулятора рассчитать не в состоянии, как оказалось. Они нашли друг друга, не стоит им мешать. :)))

Ты мало отличим от Expressa, один спорит и флудит (Express), второй флудит - оффтопит (mickbell) и так меняются роли из темы в тему, в конечном выхлопе ноль полезностей по теме обсуждения, один лишь шум и куча страниц с перепиской. Так что свои взаимоотношения с выше указанным участником темы оставь при себе.


Вернуться наверх
 
Не в сети
 Заголовок сообщения: Re: Мелкие вопросы по теории
СообщениеДобавлено: Пт янв 21, 2022 10:01:15 
Опытный кот
Аватар пользователя

Карма: 13
Рейтинг сообщений: 163
Зарегистрирован: Сб дек 22, 2012 08:17:42
Сообщений: 744
Откуда: Караганда, Казахстан
Рейтинг сообщения: 4
Ярослав555 писал(а):
Да ничего он не может. Он информацию сгребает, а башка ее переварить не может.
Всякая человеческая голова подобна желудку: одна переваривает входящую в оную пищу, а другая от нее засоряется. (К. Прутков, мысль № 138) :-)

_________________
Кто мешает тебе выдумать порох непромокаемый? (К. Прутков, мысль № 133)


Вернуться наверх
 
Не в сети
 Заголовок сообщения: Re: Мелкие вопросы по теории
СообщениеДобавлено: Пт янв 21, 2022 13:45:40 
Встал на лапы
Аватар пользователя

Карма: 2
Рейтинг сообщений: 13
Зарегистрирован: Вт май 27, 2008 20:11:07
Сообщений: 122
Рейтинг сообщения: 0
Здравствуйте, подскажите по АКБ ноутбуков, если част элементов просаживается ниже защитного уровня, то при дальнейшей долгой зарядке на них подается ток для зарядки чтобы они могли снова дойти до уровня или батарея блокируется и все? Ноутбук полежал в шкафу долго, батарею не вытащили, сейчас непонятно пойдет в конце-конов заряд или нет. Так не сказать чтобы батарея была очень старая.


Вернуться наверх
 
Не в сети
 Заголовок сообщения: Re: Мелкие вопросы по теории
СообщениеДобавлено: Пт янв 21, 2022 16:10:48 
Поставщик валерьянки для Кота
Аватар пользователя

Карма: 12
Рейтинг сообщений: 148
Зарегистрирован: Пт фев 27, 2015 20:57:08
Сообщений: 1930
Откуда: Курск
Рейтинг сообщения: 1
Всем привет! Всех с праздниками! :beer: Подскажите пожалуйста, кто сталкивался с сенсорными выключателями 230 вольт, этот сенсор реагирует на емкость между пальцем и контактной площадкой? Или какой-то иной принцип работы? А то был случай на днях, пару раз ночью сам включился. Знакомые говорят, было открыто окно. Ну на перемену тепла он же не сработает, если ветер из окна дул, так? а на снежинки если случайно они докоснулись до сенсора?
_____
Второй вопросик интересный: подскажите пожалуйста, а нет ли в природе такого преобразователя, который делает из 400 вольтовой трехфазки напряжение = 230 вольт, но с равномерной нагрузкой на каждую из трех фаз?
----------
Orion, скорее всего батарея просто заблокируется и все. В современных ноутбучных АКБ (да и в телефонных) стоит очень хитрый микроконтроллер, который следит за состоянием АКБ, за кол-вом зарядов/разрядов, температурой, за напряжением критического разряда на каждой банке... Короче сами банки скорее всего живы, а вот вряд ли с этим что-то можно сделать из-за микроконтроллера. Это все в худшем случае. А в лучшем - просто подольше погоняйте ее на компе, возможно и оживет. :wink:


Вернуться наверх
 
Показать сообщения за:  Сортировать по:  Вернуться наверх
Начать новую тему Ответить на тему  [ Сообщений: 41967 ]     ... , , , 1840, , , ...  

Часовой пояс: UTC + 3 часа


Кто сейчас на форуме

Сейчас этот форум просматривают: нет зарегистрированных пользователей и гости: 20


Вы не можете начинать темы
Вы не можете отвечать на сообщения
Вы не можете редактировать свои сообщения
Вы не можете удалять свои сообщения
Вы не можете добавлять вложения

Найти:
Перейти:  


Powered by phpBB © 2000, 2002, 2005, 2007 phpBB Group
Русская поддержка phpBB
Extended by Karma MOD © 2007—2012 m157y
Extended by Topic Tags MOD © 2012 m157y