Например TDA7294

Форум РадиоКот • Просмотр темы - Про колебательный контур.
Форум РадиоКот
Здесь можно немножко помяукать :)

Текущее время: Чт янв 29, 2026 17:47:41

Часовой пояс: UTC + 3 часа


ПРЯМО СЕЙЧАС:



Начать новую тему Ответить на тему  [ Сообщений: 318 ]    , , 3, , , ...  
Автор Сообщение
Не в сети
 Заголовок сообщения: Re: Не работает жучок ☺
СообщениеДобавлено: Пт ноя 18, 2011 07:53:34 
Друг Кота
Аватар пользователя

Карма: 64
Рейтинг сообщений: 1102
Зарегистрирован: Ср ноя 17, 2010 23:10:55
Сообщений: 5837
Откуда: Ижевск LO66NU
Рейтинг сообщения: 0
Цитата:
практический интерес.

Это будет называться средством радиоэлектронного противодействия или передатчиком заградительных помех. За такую штучку на вас поимеют зуб не только соответствующие органы, но и всё гражданское население в ближайшей округе. Так что прежде чем включать, не забудте надеть бронежилет, армейскую каску и позвонить по 112....

_________________
В начале жизнь мучает вопросами, в конце - ответами...


Вернуться наверх
 
Не в сети
 Заголовок сообщения: Re: Не работает жучок ☺
СообщениеДобавлено: Пт ноя 18, 2011 10:00:45 
Друг Кота
Аватар пользователя

Карма: 72
Рейтинг сообщений: 1153
Зарегистрирован: Чт ноя 20, 2008 04:20:48
Сообщений: 8087
Откуда: КурскЪ
Рейтинг сообщения: 0
Это не вещать,это называется засрать диапазон.

_________________
Принимаю вас 595+40db на уровне шумов на кухонный приёмник,антенна наружка-магнитная катушка..работает "Акация",вот такая информация.Роман.73!!!
"50 КСВ 075", UA3112SWL
Изображение


Вернуться наверх
 
Не в сети
 Заголовок сообщения: Re: Не работает жучок ☺
СообщениеДобавлено: Пт ноя 18, 2011 10:13:35 
Вымогатель припоя

Зарегистрирован: Вт мар 30, 2010 11:23:14
Сообщений: 591
Рейтинг сообщения: 0
Я не собираюсь этого делать. Я хочу для себя просто знать. как уменьшить добротность. конечно кроме способа ослабить связь с антенной. только увеличить емкость колебательного контура остается и уменьшить индуктивность этого же контура остается?


Вернуться наверх
 
Не в сети
 Заголовок сообщения: Re: Не работает жучок ☺
СообщениеДобавлено: Пт ноя 18, 2011 10:39:32 
Модератор
Аватар пользователя

Карма: 162
Рейтинг сообщений: 2441
Зарегистрирован: Пн июл 07, 2008 10:46:09
Сообщений: 10736
Откуда: Россия
Рейтинг сообщения: 0
Чтобы уменьшить добротность, можно просто параллельно контуру поставить резистор.

_________________
Если хотите, чтобы жизнь улыбалась вам, подарите ей своё хорошее настроение


Вернуться наверх
 
Эиком - электронные компоненты и радиодетали
Не в сети
 Заголовок сообщения: Re: Не работает жучок ☺
СообщениеДобавлено: Пт ноя 18, 2011 10:39:45 
Друг Кота
Аватар пользователя

Карма: 72
Рейтинг сообщений: 1153
Зарегистрирован: Чт ноя 20, 2008 04:20:48
Сообщений: 8087
Откуда: КурскЪ
Рейтинг сообщения: 0
Просто нагрузить контур резистором.

Со Светой одновременно ответили. :))

_________________
Принимаю вас 595+40db на уровне шумов на кухонный приёмник,антенна наружка-магнитная катушка..работает "Акация",вот такая информация.Роман.73!!!
"50 КСВ 075", UA3112SWL
Изображение


Вернуться наверх
 
Не в сети
 Заголовок сообщения: Re: Не работает жучок ☺
СообщениеДобавлено: Пт ноя 18, 2011 10:53:27 
Вымогатель припоя

Зарегистрирован: Вт мар 30, 2010 11:23:14
Сообщений: 591
Рейтинг сообщения: 0
А если увеличивать емкость пропорционально уменьшению индуктивности, добротность уменьшится?


Вернуться наверх
 
Не в сети
 Заголовок сообщения: Re: Не работает жучок ☺
СообщениеДобавлено: Пт ноя 18, 2011 10:56:51 
Друг Кота
Аватар пользователя

Карма: 72
Рейтинг сообщений: 1153
Зарегистрирован: Чт ноя 20, 2008 04:20:48
Сообщений: 8087
Откуда: КурскЪ
Рейтинг сообщения: 0
Появится реактивная составляющая.

Вместо того чтоб задавать вопросы лучше собрал бы схему..
Собери передатчик и проводи эксперименты.А так это болтология..

_________________
Принимаю вас 595+40db на уровне шумов на кухонный приёмник,антенна наружка-магнитная катушка..работает "Акация",вот такая информация.Роман.73!!!
"50 КСВ 075", UA3112SWL
Изображение


Вернуться наверх
 
Не в сети
 Заголовок сообщения: Re: Не работает жучок ☺
СообщениеДобавлено: Пт ноя 18, 2011 11:00:19 
Модератор
Аватар пользователя

Карма: 158
Рейтинг сообщений: 1600
Зарегистрирован: Пт апр 28, 2006 15:26:07
Сообщений: 11940
Откуда: Россия.
Рейтинг сообщения: 0
Медали: 2
Мявтор 3-й степени (1) Лучший человек Форума 2017 (1)
Полоса частот которая занимает твоя радиостанция при ЧМ модуляции зависит не от добротности контура, а от величины девиации частоты которую ты сделаешь. Стандартно она равна порядка +/-75кгц. Если передатчик с варикапом, то это достигается увеличением напряжения звуковой частоты подаваемого на него. Но дело в том, что приемники ЧМ рассчитаны тоже на девиацию +/-75кгц и если её в передатчике увеличить, то этот сигнал в приемнике будет приниматься с сильными искажениями.

Или вы глушилку собрались делать? Вопрос ваш совершенно не конкретный.
Что вы хотите в конце концов делать?


Вернуться наверх
 
Не в сети
 Заголовок сообщения: Re: Не работает жучок ☺
СообщениеДобавлено: Пт ноя 18, 2011 11:05:34 
Друг Кота
Аватар пользователя

Карма: 72
Рейтинг сообщений: 1153
Зарегистрирован: Чт ноя 20, 2008 04:20:48
Сообщений: 8087
Откуда: КурскЪ
Рейтинг сообщения: 0
Да поговорить... :))

_________________
Принимаю вас 595+40db на уровне шумов на кухонный приёмник,антенна наружка-магнитная катушка..работает "Акация",вот такая информация.Роман.73!!!
"50 КСВ 075", UA3112SWL
Изображение


Вернуться наверх
 
Не в сети
 Заголовок сообщения: Re: Не работает жучок ☺
СообщениеДобавлено: Пт ноя 18, 2011 12:32:31 
Вымогатель припоя

Зарегистрирован: Вт мар 30, 2010 11:23:14
Сообщений: 591
Рейтинг сообщения: 0
А как же формула где добротность прямо пропорциональна индуктивности и обратно пропорциональна емкости?


Вернуться наверх
 
Не в сети
 Заголовок сообщения: Re: Не работает жучок ☺
СообщениеДобавлено: Пт ноя 18, 2011 13:03:49 
Друг Кота
Аватар пользователя

Карма: 72
Рейтинг сообщений: 1153
Зарегистрирован: Чт ноя 20, 2008 04:20:48
Сообщений: 8087
Откуда: КурскЪ
Рейтинг сообщения: 0
Здалось оно тебе??? :)

Читай книгу Основы радиотехники.

_________________
Принимаю вас 595+40db на уровне шумов на кухонный приёмник,антенна наружка-магнитная катушка..работает "Акация",вот такая информация.Роман.73!!!
"50 КСВ 075", UA3112SWL
Изображение


Вернуться наверх
 
Не в сети
 Заголовок сообщения: Re: Не работает жучок ☺
СообщениеДобавлено: Пт ноя 18, 2011 13:18:12 
Модератор
Аватар пользователя

Карма: 158
Рейтинг сообщений: 1600
Зарегистрирован: Пт апр 28, 2006 15:26:07
Сообщений: 11940
Откуда: Россия.
Рейтинг сообщения: 0
Медали: 2
Мявтор 3-й степени (1) Лучший человек Форума 2017 (1)
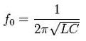
telomtr писал(а):
А как же формула где добротность прямо пропорциональна индуктивности и обратно пропорциональна емкости?
Собственная частота колебательного контура выглядит так.

Изображение

Как видишь частота не зависит от добротности, а его резонансная частота зависит только от L и С .
С чего ты взял, что контур с низкой добротностью будет генерировать на нескольких частотах?


Вложения:
1.JPG [1.79 KiB]
Скачиваний: 3919
Вернуться наверх
 
Не в сети
 Заголовок сообщения: Re: Не работает жучок ☺
СообщениеДобавлено: Пт ноя 18, 2011 13:22:21 
Друг Кота
Аватар пользователя

Карма: 72
Рейтинг сообщений: 1153
Зарегистрирован: Чт ноя 20, 2008 04:20:48
Сообщений: 8087
Откуда: КурскЪ
Рейтинг сообщения: 0
Правильно aen! А то так скоро дойдем до влияния цвета лака провода и лунных фаз на добротность контура.

_________________
Принимаю вас 595+40db на уровне шумов на кухонный приёмник,антенна наружка-магнитная катушка..работает "Акация",вот такая информация.Роман.73!!!
"50 КСВ 075", UA3112SWL
Изображение


Вернуться наверх
 
Не в сети
 Заголовок сообщения: Re: Не работает жучок ☺
СообщениеДобавлено: Пт ноя 18, 2011 13:33:58 
Вымогатель припоя

Зарегистрирован: Вт мар 30, 2010 11:23:14
Сообщений: 591
Рейтинг сообщения: 0
а как же эта формула?


Вложения:
index.jpg [1.58 KiB]
Скачиваний: 841
Вернуться наверх
 
Не в сети
 Заголовок сообщения: Re: Про колебательный контур.
СообщениеДобавлено: Пт ноя 18, 2011 14:02:25 
Модератор
Аватар пользователя

Карма: 158
Рейтинг сообщений: 1600
Зарегистрирован: Пт апр 28, 2006 15:26:07
Сообщений: 11940
Откуда: Россия.
Рейтинг сообщения: 0
Медали: 2
Мявтор 3-й степени (1) Лучший человек Форума 2017 (1)
Здесь на второй странице уже говорили про это.
viewtopic.php?p=952825#p952825


Вернуться наверх
 
Не в сети
 Заголовок сообщения: Re: LC контур
СообщениеДобавлено: Пт ноя 18, 2011 18:50:22 
Встал на лапы
Аватар пользователя

Карма: 1
Рейтинг сообщений: 2
Зарегистрирован: Пт окт 07, 2011 20:46:17
Сообщений: 139
Откуда: Украина,Восток
Рейтинг сообщения: 0
Добротность без формул звучит так-->все сукупные потери в колебательном контуре,или по отдельности,если говорится о катушке или конденсаторе.
ВСЕ! потери на сопротивление,потери на токи фуко,потери в диэлектрики..и так можно штук 20 насчитать если захотеть.
Формулы выведены исходя из этого.

Если вы хотите "нагадить" пошире-сделайте пилу и качайте варикап,и забудьте про понижение добротности в контурах!


Вернуться наверх
 
Не в сети
 Заголовок сообщения: Re: LC контур
СообщениеДобавлено: Пт ноя 18, 2011 20:51:28 
Друг Кота
Аватар пользователя

Карма: 64
Рейтинг сообщений: 1102
Зарегистрирован: Ср ноя 17, 2010 23:10:55
Сообщений: 5837
Откуда: Ижевск LO66NU
Рейтинг сообщения: 0
Цитата:
а как же эта формула?

Добротность, о которой ты тут пишешь, называется эквивалентной и является величиной задаваемой. Чтобы связать её с добротностью контура, недостаточно знание величин L и C, необходимо определиться с сопротивлением нагрузки. Читаем Полякова:
Вложение:
стр109.jpeg [43.86 KiB]
Скачиваний: 800

Если-же интересно, что произойдет, если в генератор вставить низкодобротный контур, то можно сразу сказать, что генератор либо не будет возбуждаться вообще, либо будет генерировать всё-равно на какой-то одной частоте, на какой - Поляков объясняет и это:
Вложение:
стр185.jpeg [194.04 KiB]
Скачиваний: 801
Вложение:
стр186.jpg [153.61 KiB]
Скачиваний: 796

_________________
В начале жизнь мучает вопросами, в конце - ответами...


Вернуться наверх
 
Не в сети
 Заголовок сообщения: Re: LC контур
СообщениеДобавлено: Пн ноя 21, 2011 02:27:32 
Встал на лапы

Карма: -9
Рейтинг сообщений: -8
Зарегистрирован: Пт авг 20, 2010 20:04:04
Сообщений: 114
Откуда: город ДОНЕЦК
Рейтинг сообщения: 0
Здравствуйте!!! telomtr-Да формула справедлива! В начале 90-х приходилось перетягивать ЛЕН с 57мгц на 27мгц. Можно было решить вопрос очень просто -параллелить конденсаторы к контурам и выйти на нужную частоту. В результате приемник получился бы глухой, а передатчик максимум 0,5W вместо -16W. Поэтому выпаивались все контура и доматывались катушки. Но сколько доматывать -по формуле можно расчитать только приблизительно. Решить этот вопрос можно только методом проб. При настройке к примеру первого каскада-осцил. подключался ко второму. К домотаной катушке и прежним конденсаторам подпаивал емкость 10пф, и если сигнал возрастал, то индуктивность увеличивал еще на виток и так далее. Когда запаивал экран на катушку добротность контура падала, так как уменьшалась индуктивность катушки, поэтому ферритовый сердечник вкручивался глубже. Поэтому добротность контура больше при маленькой емкости и большой индуктивности-до определенного момента. В современных сибишных радиостанциях у контуров очень низкая добротность и как следствие 40 каналов глохнут, если ктото включится по близости имея в антенне 200W. А вот старушке Р-123 это все безразлично. Потому что ее разрабатывали и строили НАСТОЯЩИЕ професионалы рожденные и обученные в СССР для которых добротность контуров была на первом месте.


Вернуться наверх
 
Не в сети
 Заголовок сообщения: Re: LC контур
СообщениеДобавлено: Вт ноя 22, 2011 21:31:03 
Модератор
Аватар пользователя

Карма: 158
Рейтинг сообщений: 1600
Зарегистрирован: Пт апр 28, 2006 15:26:07
Сообщений: 11940
Откуда: Россия.
Рейтинг сообщения: 0
Медали: 2
Мявтор 3-й степени (1) Лучший человек Форума 2017 (1)
Это все хорошо, но скажите тогда как узнать какая емкость в этом контуре генератора?
viewtopic.php?p=216366#p216366

Изображение


Вернуться наверх
 
Не в сети
 Заголовок сообщения: Re: LC контур
СообщениеДобавлено: Вт ноя 22, 2011 23:27:52 
Поставщик валерьянки для Кота

Карма: 5
Рейтинг сообщений: 61
Зарегистрирован: Пт окт 23, 2009 15:32:35
Сообщений: 1929
Откуда: Челябинск
Рейтинг сообщения: 0
c4*c5/(c4+c5). ну еще к c4 добавить паразитную емкость с транзистора можно. для сигнальных цепей шины земли и питания есть одно и то же, при анализе цепи по переменному току их можно смело перемкнуть. тогда сразу видно параллельный LC контур с отводом от середины емкости


Вернуться наверх
 
Показать сообщения за:  Сортировать по:  Вернуться наверх
Начать новую тему Ответить на тему  [ Сообщений: 318 ]    , , 3, , , ...  

Часовой пояс: UTC + 3 часа


Кто сейчас на форуме

Сейчас этот форум просматривают: нет зарегистрированных пользователей и гости: 14


Вы не можете начинать темы
Вы не можете отвечать на сообщения
Вы не можете редактировать свои сообщения
Вы не можете удалять свои сообщения
Вы не можете добавлять вложения

Найти:
Перейти:  


Powered by phpBB © 2000, 2002, 2005, 2007 phpBB Group
Русская поддержка phpBB
Extended by Karma MOD © 2007—2012 m157y
Extended by Topic Tags MOD © 2012 m157y